Bocinas lubricadas por agua, una solución ambiental.


Las bocinas Eagle Marine utilizan agua como lubricante y no aceite, por lo cuál no se requieren sellos contaminantes, bombas o tanques, convirtiéndose así en un sistema de descansos de eje más simple y de bajo costo, generando una solución alternativa a las preocupaciones por restricciones medio ambientales, los altos costos de mantención y reemplazo en la industria marítima actual.

¿Por qué neopreno?


El neopreno al estar lubricado con agua es uno de los materiales más deslizantes y se elimina prácticamente la fricción al pasar sobre una superficie metálica, convirtiéndola en el material perfecto para usar en bocinas. Es menos sensible a los cambios de temperatura, y un material fuerte y muy resistente a los aceites, químicos disolventes, grasas y al calor.

Desempeño superior en los ambientes más exigentes

Las bocinas Eagle Marine están diseñadas con un recubrimiento de polímero de neopren resistente al aceite y a productos químicos, dentro de una cubierta de bronce no metálica. Este polímero interno incluye canales a lo largo para permitir el máximo flujo de agua de lubricación y la disipación del calor producido por la fricción.

Solicite cotización

Rodamiento en pulgadas

Mínimo desgaste de la bocina

Las características elásticas del neopreno permiten a la superficie de contacto deformarse creando un tipo de bolsillo que deja una capa de lubricación hidrodinámica y separa la superficie de la bocina del eje, permitiendo un coeficiente de fricción menor a 0.001.

bearing inches

Rechazo hidrodinámico de arena

El neopreno crea un sello en los extremos y áreas de contacto de la bocina produciendo un rechazo de la arena, que es expulsada a través de los canales alternos, protegiendo de daños al eje.

bearing metric

Acorde a su tipo de embarcación

Existen unidades con cubiertas más delgadas para los diferentes puntales de las embarcaciones más pequeñas.

bearing inches

Fácil y rápida instalación

Se instalan haciendo una ligera presión y fijándolos en el lugar que desee con tornillos de fijación de punta cónica.

bearing metric

El neopreno no se distorsiona, es un material flexible de los llamados "materiales inteligentes" que durante las últimas décadas ha implementado más usos y formas debido a sus grandes propiedades elásticas y térmicas.

Estas propiedades hacen que las bocinas de neopreno siempre tengan área de contacto actuando como superficie de apoyo. Además, la lubricación con agua absorbe el doble de calor que los aceites lubricantes.

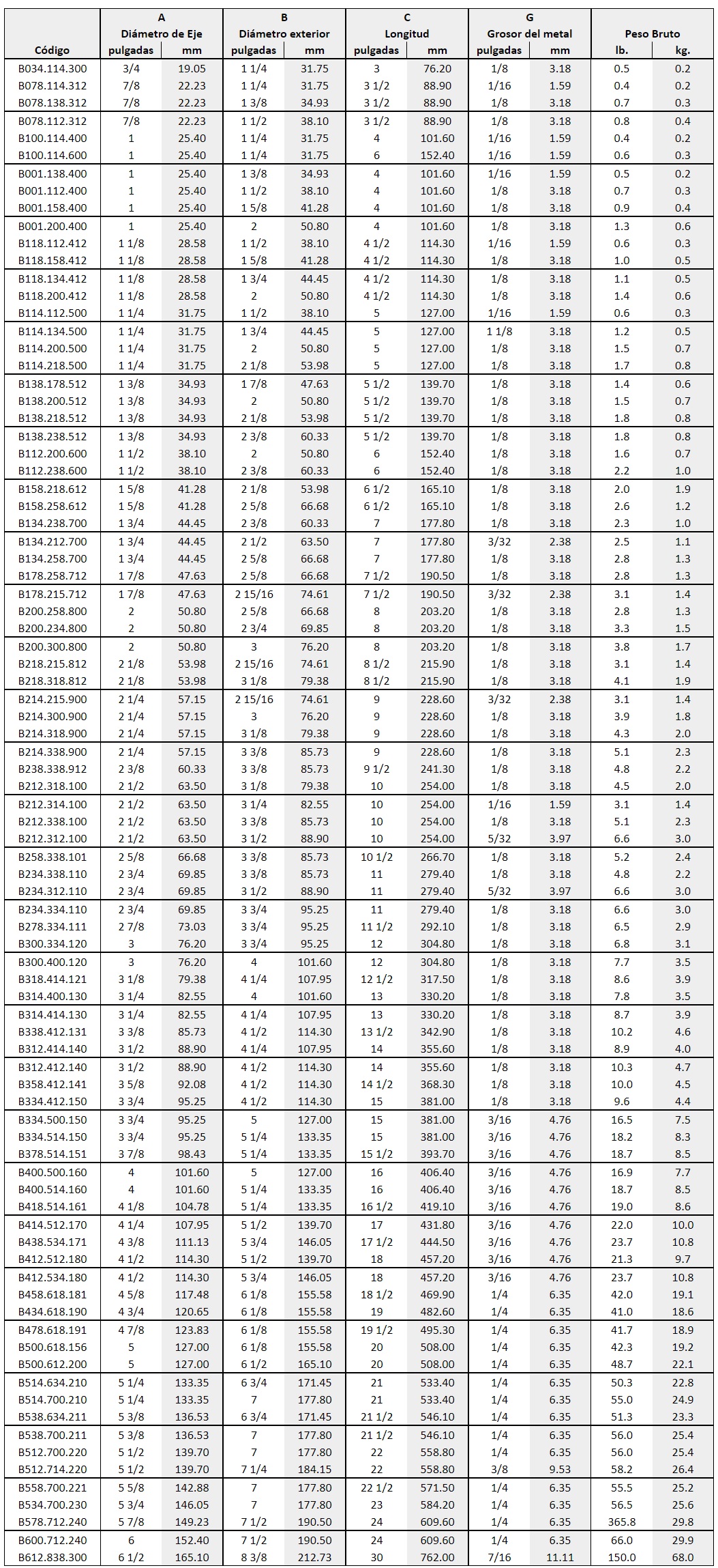
Modelos y tamaños

Dimensiones

Dimensiones

Dimensiones